1. Do not share user accounts! Any account that is shared by another person will be blocked and closed. This means: we will close not only the account that is shared, but also the main account of the user who uses another person's account. We have the ability to detect account sharing, so please do not try to cheat the system. This action will take place on 04/18/2023. Read all forum rules.
    Dismiss Notice
  2. For downloading SimTools plugins you need a Download Package. Get it with virtual coins that you receive for forum activity or Buy Download Package - We have a zero Spam tolerance so read our forum rules first.

    Buy Now a Download Plan!
  3. Do not try to cheat our system and do not post an unnecessary amount of useless posts only to earn credits here. We have a zero spam tolerance policy and this will cause a ban of your user account. Otherwise we wish you a pleasant stay here! Read the forum rules
  4. We have a few rules which you need to read and accept before posting anything here! Following these rules will keep the forum clean and your stay pleasant. Do not follow these rules can lead to permanent exclusion from this website: Read the forum rules.
    Are you a company? Read our company rules

SCN6 alike actuators?

Discussion in 'DIY Motion Simulator Building Q&A / FAQ' started by Michael Hensen, Dec 4, 2017.

  1. Michael Hensen

    Michael Hensen Active Member

    Joined:
    Mar 25, 2014
    Messages:
    166
    Occupation:
    C# Software Engineer
    Location:
    Almere, Netherlands
    Balance:
    748Coins
    Ratings:
    +186 / 0 / -0
    My Motion Simulator:
    3DOF, AC motor, Arduino, Motion platform
    looking at closed loop and their pricing I've found this 12Nm Nema32.. Might go for that..
    Nema34-12N-m-Closed-Loop-Servo-motor-6A

    Just for my perception.. looking at the driver of these things.. they are driven by puls..
    Am I correct to say that if I write code that takes the input of heave signal of simtools which I believe is a value between 0-255 (I think <127 go, down 127 stop, >127 go up)
    then the driver is driven by pulse, each pulse translates to a step .. and the amount of steps translates to a rotation.
    So I need something to output a 24v signal .. or is that where you need the controller board for?!
    Mostly I see a Motor, driver and some controller then connected to PC ..

    Just to get my head straight..
    because I think I want to drive the motors by a Raspberry because they are small and I can have it dedicated to doing the caluclations for steps etc..
  2. adgun

    adgun Active Member

    Joined:
    Jan 28, 2008
    Messages:
    538
    Occupation:
    mechanic
    Location:
    Netherlands
    Balance:
    5,801Coins
    Ratings:
    +138 / 4 / -0
    I am not in with the digital stuf
    But 12NM with a 1610 screw gives dynamicly to much force for the bearingblock
    It gives over 600kg of forces the actuator must be riggit
  3. adgun

    adgun Active Member

    Joined:
    Jan 28, 2008
    Messages:
    538
    Occupation:
    mechanic
    Location:
    Netherlands
    Balance:
    5,801Coins
    Ratings:
    +138 / 4 / -0
    The 2NM nema 23 closedloop stepper from Leadshine gives 0.8 NM at 1800 rpm.
    With 40% left from max torque at high rpm
    12NM can become brutal to feel
  4. Michael Hensen

    Michael Hensen Active Member

    Joined:
    Mar 25, 2014
    Messages:
    166
    Occupation:
    C# Software Engineer
    Location:
    Almere, Netherlands
    Balance:
    748Coins
    Ratings:
    +186 / 0 / -0
    My Motion Simulator:
    3DOF, AC motor, Arduino, Motion platform
    Hm
    Hmm, not really something I have thought of.. back to the selection mode again.. I just have a feel 2Nm would not be enough.
  5. adgun

    adgun Active Member

    Joined:
    Jan 28, 2008
    Messages:
    538
    Occupation:
    mechanic
    Location:
    Netherlands
    Balance:
    5,801Coins
    Ratings:
    +138 / 4 / -0
    I dont know what you want to build,but for a D box style simulator its oke.
    Leadshine got also 3NM nema 24 sets.Cost more
    There 2nm nema 23 got over 60kgf at 200mm sec with a 1605 screw
  6. Michael Hensen

    Michael Hensen Active Member

    Joined:
    Mar 25, 2014
    Messages:
    166
    Occupation:
    C# Software Engineer
    Location:
    Almere, Netherlands
    Balance:
    748Coins
    Ratings:
    +186 / 0 / -0
    My Motion Simulator:
    3DOF, AC motor, Arduino, Motion platform
    As
    The reason I am aiming high is because it will be for VR. Based on my experiences with previous sims I need or am looking for strong and sharp movements. Their is quite a difference in feel with or without VR. So therefore I rather go for 4 to 6 Nm so I can drive 250mm to 300mm distance in high speed. The problem is am not really into the Nm, the more the better is what i was thinking ;-) but you convinced me otherwise.
    Last edited: Dec 13, 2017
  7. Limongi

    Limongi Member

    Joined:
    Feb 14, 2017
    Messages:
    66
    Location:
    Vancouver, Canada
    Balance:
    - 7Coins
    Ratings:
    +57 / 0 / -0
    I really like the conversation you've started here @Michael Hensen, I too have been pondering smaller diy actuators due to being tired of the rattle of the backlash in my wormgears as well as like you very much obsessed with the pursuit of heave.

    I'm thinking of just sticking with brushed dc motors and basically doing something like the larger 6dof diy actuators done here but with a 1605/350mm screw and in a triple or quad dbox (inverted) style and skipping the servo all together as I feel it's more learning curve than I have appetite for in one project.

    Thinking of using something like this: https://www.motiondynamics.com.au/12v-200w-4500-rpm-straight-dc-motor.html

    Not meaning to hijack your thread, just wanted to wish you luck and I'm really looking forward to your build thread!
    • Like Like x 1
  8. Michael Hensen

    Michael Hensen Active Member

    Joined:
    Mar 25, 2014
    Messages:
    166
    Occupation:
    C# Software Engineer
    Location:
    Almere, Netherlands
    Balance:
    748Coins
    Ratings:
    +186 / 0 / -0
    My Motion Simulator:
    3DOF, AC motor, Arduino, Motion platform

    You're welcome.. As this is not a build thread I don't feel you are hijacking anything :)
    I guess it would be nice to pursue the same goal in 2 different ways.. I know I will run into more issues. But I think I also will gain some features..
    Like that the servo drivers need to be controlled with something that can translate the simtools data.. the 'normal' route was to have an Arduino but I want to go for an raspberry and go UDP over the network, making it more standalone..
    But you are right that the solution with the brushed motor is more common and perhaps a bit cheaper.. Although I doubt that pricewise there will much in between them.. mine would be a bit more expensive.

    And in the end, both solutions will be equal in the basis. So it would be cool if we both went on different routes to that same goal. That way we can provide feedback to other builders on the pro/cons of both systems..
    So Yeah.. Cool, go for it..

    Btw.. I have build a 2dof in 2 different styles (seat mover and front platform mover) and a complete 6dof 0.75kw sim.. As I am moving I had to part from the big buy and yes the backlash and noise was killing me.. so now I am free to come up with a slighter smaller solution for my need to race.. (and noise there will always be.. but with the actuators we can try and box in some isolation)

    So Good luck and keep me/us posted!! Start a build thread as soon as you are out of your planning phase.. :)
    • Like Like x 1
    • Friendly Friendly x 1
  9. Michael Hensen

    Michael Hensen Active Member

    Joined:
    Mar 25, 2014
    Messages:
    166
    Occupation:
    C# Software Engineer
    Location:
    Almere, Netherlands
    Balance:
    748Coins
    Ratings:
    +186 / 0 / -0
    My Motion Simulator:
    3DOF, AC motor, Arduino, Motion platform
    I think I finally found the motor I was looking for..
    8Nm closed loop Nema 32 with 1.4NM at 1800rpm
    Will keep looking further but this find makes me smile and getting more and gives me more faith that I will reach my goal!
    I think I will go back to 1605's

    Damn. AC voltage 70v.. where would I get those.. I think I will continue the search for a DC version :-(
  10. Bernd Manger

    Bernd Manger Active Member

    Joined:
    Oct 6, 2015
    Messages:
    156
    Occupation:
    Measurement and control mechanic
    Location:
    Germany
    Balance:
    1,055Coins
    Ratings:
    +263 / 12 / -0
    My Motion Simulator:
    2DOF, DC motor, Arduino
    There is something interesting:
    I have taken this rpm-torque curve(red curve) of a closed loop nema 23 with 2Nm:
    nema23 loop.jpg
    and made a chart with 3 force-speed curves in combination with a 5mm, a 10mm and a 15mm spindle:
    speed-force-curves.png
    The 10mm and the 15mm spindle overlap each other in the range from 150 to 300 mm/s. Below 150 mm/s the 10mm spindle has more force, but the speed ends at 300 mm/s.
    But 10mm spindles are not easy(and cheap) to get and 15mm spindles doesn't exist(i believe), so the best way would be to use a 1605 spindle and a belt drive between motor and spindle to get the higher speed.

    For a 2dof seatmover with shoulder-mounted actuators this nema 23 would have enough force, but if you plan to build a 3dof with heave i think a nema 34
    would be necessary.
    • Informative Informative x 2
    • Like Like x 1
  11. Bernd Manger

    Bernd Manger Active Member

    Joined:
    Oct 6, 2015
    Messages:
    156
    Occupation:
    Measurement and control mechanic
    Location:
    Germany
    Balance:
    1,055Coins
    Ratings:
    +263 / 12 / -0
    My Motion Simulator:
    2DOF, DC motor, Arduino
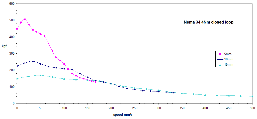
    Here a the updated charts for your above posted Nema 34 4Nm and 8Nm. The 4Nm has higher speed.
    nema 34 loop.jpg
    nema34 4Nm.png
    nema34 8Nm.png
    • Informative Informative x 3
  12. Michael Hensen

    Michael Hensen Active Member

    Joined:
    Mar 25, 2014
    Messages:
    166
    Occupation:
    C# Software Engineer
    Location:
    Almere, Netherlands
    Balance:
    748Coins
    Ratings:
    +186 / 0 / -0
    My Motion Simulator:
    3DOF, AC motor, Arduino, Motion platform

    Wow.. thanks for all you efforts.. You make it so much clearer .. The 8Nm has more torque at 300mm/s but the problem is AC power supply .. I am not keen on that..
    Rather have DC, easier to get and lower priced .. But I think I can pull it off with the 4Nm motors.. and limit all at 300m/s .. If all the movements are converted 1:1 then you probably still have a hell of a ride..

    Thanks again.. I have found acceptable prices 1610's .. so the belt is not needed..
    Motor would be then the Nema34 4Nm

    Edit:
    Just looked at a possible candidate for frame..
    but it is pretty heavy 60kg without steering and pedals.. so that would be an additional 25kg..
    so that would be 60+25+95=180kg total..
    Perhaps look for other options as for rig..
    Last edited: Dec 15, 2017
  13. Bernd Manger

    Bernd Manger Active Member

    Joined:
    Oct 6, 2015
    Messages:
    156
    Occupation:
    Measurement and control mechanic
    Location:
    Germany
    Balance:
    1,055Coins
    Ratings:
    +263 / 12 / -0
    My Motion Simulator:
    2DOF, DC motor, Arduino
    • Like Like x 1
  14. Michael Hensen

    Michael Hensen Active Member

    Joined:
    Mar 25, 2014
    Messages:
    166
    Occupation:
    C# Software Engineer
    Location:
    Almere, Netherlands
    Balance:
    748Coins
    Ratings:
    +186 / 0 / -0
    My Motion Simulator:
    3DOF, AC motor, Arduino, Motion platform
    Ouch.. Not something I am used to use.. as in don't know how to work with that :) Doesn't look really safe to me, or probably isn't safe in my hands..

    @Bernd.. You really know your stuff!!!

    so for my understanding..

    I need 2 off those transformers and the 2 output (35V in series) to get the 70V AC.
    As the motor has a max amperage of 6 and the transform can handle around 14A I can connect 2 of them?!
    Last edited: Dec 15, 2017
  15. Bernd Manger

    Bernd Manger Active Member

    Joined:
    Oct 6, 2015
    Messages:
    156
    Occupation:
    Measurement and control mechanic
    Location:
    Germany
    Balance:
    1,055Coins
    Ratings:
    +263 / 12 / -0
    My Motion Simulator:
    2DOF, DC motor, Arduino
    It's not so complicated. This transformer has 4 coils. 2 with 115V, connected in series = 230V~ = input voltage.
    2 with 35V, connected in series = 70V~ = output voltage.
    If you wish i can make a circuit diagram.
    By the way, the nema 34 4Nm set you chose above comes with the 2HSS86H-driver board. This has only AC-input 30-75V.
  16. Michael Hensen

    Michael Hensen Active Member

    Joined:
    Mar 25, 2014
    Messages:
    166
    Occupation:
    C# Software Engineer
    Location:
    Almere, Netherlands
    Balance:
    748Coins
    Ratings:
    +186 / 0 / -0
    My Motion Simulator:
    3DOF, AC motor, Arduino, Motion platform

    Indeed .. now I see that it was bound to the driver and not the motor!! (edit: wrong also motor)
    After a bit of googling the transformer is indeed less scary as it looks like.. Also found a dutch supplier with a 220V entry lead and twice 35 exit. So that would work..
    Now all options are back on the table as I now have the AC Power supply covered..
    • Like Like x 1
  17. Bernd Manger

    Bernd Manger Active Member

    Joined:
    Oct 6, 2015
    Messages:
    156
    Occupation:
    Measurement and control mechanic
    Location:
    Germany
    Balance:
    1,055Coins
    Ratings:
    +263 / 12 / -0
    My Motion Simulator:
    2DOF, DC motor, Arduino
    I havn't seen your edit.
    You need only one transformer for all your nemas.
    The only difference in choosing one is the output power. For 3 nemas with 8 Amps you need theoretically 1680VA, but in practice you don't need so much because the 8 Amps are only peak performance for short times. So i think with a 1000VA transformer you are on the safe side.
    A transformer is not that sensitive to short overloads as DC power supplies, their overload protection circuits switch off mercilessly.
    • Like Like x 1
  18. Michael Hensen

    Michael Hensen Active Member

    Joined:
    Mar 25, 2014
    Messages:
    166
    Occupation:
    C# Software Engineer
    Location:
    Almere, Netherlands
    Balance:
    748Coins
    Ratings:
    +186 / 0 / -0
    My Motion Simulator:
    3DOF, AC motor, Arduino, Motion platform
    Well that is a cost saver then!!! Great!!! AC is the at to go then.. that is out of the way!!
    Edit: misread... I will have 4nema's so that would be too much.. Will go for 2 to be safe!!
    • Agree Agree x 1
  19. adgun

    adgun Active Member

    Joined:
    Jan 28, 2008
    Messages:
    538
    Occupation:
    mechanic
    Location:
    Netherlands
    Balance:
    5,801Coins
    Ratings:
    +138 / 4 / -0
    Hi Michael
    Use the highest voltage the driver can handle ,it gives higher rpm with more torque.
    The diagrams are in microstep, full step gives more torque.
    @Bernd Manger a 1616 ballscrew exsist
    • Like Like x 1
    • Informative Informative x 1
  20. adgun

    adgun Active Member

    Joined:
    Jan 28, 2008
    Messages:
    538
    Occupation:
    mechanic
    Location:
    Netherlands
    Balance:
    5,801Coins
    Ratings:
    +138 / 4 / -0
    D Box actuator specs : 114kg max force/100mmm.sec max speed/ 1G max acceleration.
    Youre gonna create a beast
    regards Ad
    • Agree Agree x 1
    • Friendly Friendly x 1